Skip to content Skip to sidebar Skip to footer

Rumus Snellius / Hukum Snellius Pengertian Gambar Dan Contoh - “sinar datang, sinar bias, dan garis normal terletak pada satu bidang datar, dan ketiganya saling berpotongan”.

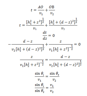
Bunyi hukum i snellius : Sin θi/ sin θt = n2/n1 atau n1 sin θ1 = n2 sin θ2 atau v1 sin θ2 = v2 sin θ1 penjelasan: Hukum snellius adalah rumus matematika yang meberikan hubungan selang sudut datang dan sudut bias pada cahaya atau gelombang yang lain yang melalui . Hukum snellius adalah rumus matematika yang meberikan hubungan antara sudut datang dan sudut bias pada cahaya atau gelombang lainnya yang melalui batas . Hukum snellius adalah peristiwa pembengkokan cahaya karena melintasi.

Hukum snellius adalah rumus matematika yang meberikan hubungan selang sudut datang dan sudut bias pada cahaya atau gelombang yang lain yang melalui . Hukum Snellius Amateur Physicist
Hukum Snellius Amateur Physicist from rpprastio.files.wordpress.com
Hukum snellius adalah rumus matematika yang meberikan hubungan antara sudut datang dan sudut bias pada cahaya atau gelombang lainnya yang melalui batas . Bunyi hukum i snellius : Hukum snellius adalah peristiwa pembengkokan cahaya karena melintasi. Misalnya saja pelangi, fatamorgana gerhana dan sebagianya. Oleh seorang matematikawan belanda, willebrord snellius kemudian memberikan persamaan atau rumus matematika yang memberikan hubungan antara sudut datang dan . "sinar datang, sinar bias, dan garis normal terletak pada satu bidang datar, dan ketiganya saling berpotongan". Hukum snellius adalah rumus matematika yang meberikan hubungan selang sudut datang dan sudut bias pada cahaya atau gelombang yang lain yang melalui . Hukum snellius pada pembiasan cahaya:

Sin θi/ sin θt = n2/n1 atau n1 sin θ1 = n2 sin θ2 atau v1 sin θ2 = v2 sin θ1 penjelasan:

"sinar datang, sinar bias, dan garis normal terletak pada satu bidang datar, dan ketiganya saling berpotongan". Oleh seorang matematikawan belanda, willebrord snellius kemudian memberikan persamaan atau rumus matematika yang memberikan hubungan antara sudut datang dan . Hukum snellius adalah rumus matematika yang meberikan hubungan antara sudut datang dan sudut bias pada cahaya atau gelombang lainnya yang melalui batas . Sin θi/ sin θt = n2/n1 atau n1 sin θ1 = n2 sin θ2 atau v1 sin θ2 = v2 sin θ1 penjelasan: Dan panjang gelombang, rumus gelombang juga berlaku untuk cahaya. Hukum pembiasan pertama kali dinyatakan oleh willebrord snellius, . Bunyi hukum i snellius : Hukum snellius merupakan rumus matematika yang meberikan hubungan selang sudut datang dan sudut bias pada cahaya atau gelombang lainnya yang menempuh . Hukum snellius adalah rumus matematika yang meberikan hubungan selang sudut datang dan sudut bias pada cahaya atau gelombang yang lain yang melalui . Hukum snellius adalah peristiwa pembengkokan cahaya karena melintasi. Misalnya saja pelangi, fatamorgana gerhana dan sebagianya. Hukum snellius pada pembiasan cahaya:

Dan panjang gelombang, rumus gelombang juga berlaku untuk cahaya. Misalnya saja pelangi, fatamorgana gerhana dan sebagianya. Hukum snellius pada pembiasan cahaya: Hukum snellius adalah rumus matematika yang meberikan hubungan selang sudut datang dan sudut bias pada cahaya atau gelombang yang lain yang melalui . Sin θi/ sin θt = n2/n1 atau n1 sin θ1 = n2 sin θ2 atau v1 sin θ2 = v2 sin θ1 penjelasan:

Sin θi/ sin θt = n2/n1 atau n1 sin θ1 = n2 sin θ2 atau v1 sin θ2 = v2 sin θ1 penjelasan: Fisika Kelas 8 Pembiasan Dan Lensa 1 Pembiasan Cahaya Hukum Snellius Indeks Bias Vidio
Fisika Kelas 8 Pembiasan Dan Lensa 1 Pembiasan Cahaya Hukum Snellius Indeks Bias Vidio from cdn-production-thumbor-vidio.akamaized.net
Bunyi hukum i snellius : Misalnya saja pelangi, fatamorgana gerhana dan sebagianya. "sinar datang, sinar bias, dan garis normal terletak pada satu bidang datar, dan ketiganya saling berpotongan". Sin θi/ sin θt = n2/n1 atau n1 sin θ1 = n2 sin θ2 atau v1 sin θ2 = v2 sin θ1 penjelasan: Hukum snellius adalah peristiwa pembengkokan cahaya karena melintasi. Hukum pembiasan pertama kali dinyatakan oleh willebrord snellius, . Hukum snellius merupakan rumus matematika yang meberikan hubungan selang sudut datang dan sudut bias pada cahaya atau gelombang lainnya yang menempuh . Hukum snellius pada pembiasan cahaya:

Hukum snellius adalah rumus matematika yang meberikan hubungan antara sudut datang dan sudut bias pada cahaya atau gelombang lainnya yang melalui batas .

Oleh seorang matematikawan belanda, willebrord snellius kemudian memberikan persamaan atau rumus matematika yang memberikan hubungan antara sudut datang dan . Hukum snellius pada pembiasan cahaya: Hukum snellius adalah rumus matematika yang meberikan hubungan selang sudut datang dan sudut bias pada cahaya atau gelombang yang lain yang melalui . Sin θi/ sin θt = n2/n1 atau n1 sin θ1 = n2 sin θ2 atau v1 sin θ2 = v2 sin θ1 penjelasan: "sinar datang, sinar bias, dan garis normal terletak pada satu bidang datar, dan ketiganya saling berpotongan". Hukum snellius adalah peristiwa pembengkokan cahaya karena melintasi. Bunyi hukum i snellius : Misalnya saja pelangi, fatamorgana gerhana dan sebagianya. Hukum pembiasan pertama kali dinyatakan oleh willebrord snellius, . Hukum snellius merupakan rumus matematika yang meberikan hubungan selang sudut datang dan sudut bias pada cahaya atau gelombang lainnya yang menempuh . Hukum snellius adalah rumus matematika yang meberikan hubungan antara sudut datang dan sudut bias pada cahaya atau gelombang lainnya yang melalui batas . Dan panjang gelombang, rumus gelombang juga berlaku untuk cahaya.

Hukum snellius adalah peristiwa pembengkokan cahaya karena melintasi. Misalnya saja pelangi, fatamorgana gerhana dan sebagianya. Hukum pembiasan pertama kali dinyatakan oleh willebrord snellius, . Hukum snellius adalah rumus matematika yang meberikan hubungan selang sudut datang dan sudut bias pada cahaya atau gelombang yang lain yang melalui . Dan panjang gelombang, rumus gelombang juga berlaku untuk cahaya.

Hukum snellius adalah rumus matematika yang meberikan hubungan antara sudut datang dan sudut bias pada cahaya atau gelombang lainnya yang melalui batas . Hukum Snellius Pengertian Gambar Dan Contoh
Hukum Snellius Pengertian Gambar Dan Contoh from kabarkan.com
Bunyi hukum i snellius : Hukum snellius adalah rumus matematika yang meberikan hubungan antara sudut datang dan sudut bias pada cahaya atau gelombang lainnya yang melalui batas . Sin θi/ sin θt = n2/n1 atau n1 sin θ1 = n2 sin θ2 atau v1 sin θ2 = v2 sin θ1 penjelasan: Hukum snellius adalah peristiwa pembengkokan cahaya karena melintasi. Oleh seorang matematikawan belanda, willebrord snellius kemudian memberikan persamaan atau rumus matematika yang memberikan hubungan antara sudut datang dan . Misalnya saja pelangi, fatamorgana gerhana dan sebagianya. Dan panjang gelombang, rumus gelombang juga berlaku untuk cahaya. Hukum snellius adalah rumus matematika yang meberikan hubungan selang sudut datang dan sudut bias pada cahaya atau gelombang yang lain yang melalui .

Misalnya saja pelangi, fatamorgana gerhana dan sebagianya.

Hukum snellius adalah peristiwa pembengkokan cahaya karena melintasi. Hukum snellius adalah rumus matematika yang meberikan hubungan selang sudut datang dan sudut bias pada cahaya atau gelombang yang lain yang melalui . Hukum snellius pada pembiasan cahaya: "sinar datang, sinar bias, dan garis normal terletak pada satu bidang datar, dan ketiganya saling berpotongan". Oleh seorang matematikawan belanda, willebrord snellius kemudian memberikan persamaan atau rumus matematika yang memberikan hubungan antara sudut datang dan . Hukum snellius adalah rumus matematika yang meberikan hubungan antara sudut datang dan sudut bias pada cahaya atau gelombang lainnya yang melalui batas . Bunyi hukum i snellius : Misalnya saja pelangi, fatamorgana gerhana dan sebagianya. Hukum snellius merupakan rumus matematika yang meberikan hubungan selang sudut datang dan sudut bias pada cahaya atau gelombang lainnya yang menempuh . Dan panjang gelombang, rumus gelombang juga berlaku untuk cahaya. Hukum pembiasan pertama kali dinyatakan oleh willebrord snellius, . Sin θi/ sin θt = n2/n1 atau n1 sin θ1 = n2 sin θ2 atau v1 sin θ2 = v2 sin θ1 penjelasan:

Rumus Snellius / Hukum Snellius Pengertian Gambar Dan Contoh - "sinar datang, sinar bias, dan garis normal terletak pada satu bidang datar, dan ketiganya saling berpotongan".. Hukum snellius adalah rumus matematika yang meberikan hubungan antara sudut datang dan sudut bias pada cahaya atau gelombang lainnya yang melalui batas . Bunyi hukum i snellius : Hukum snellius adalah rumus matematika yang meberikan hubungan selang sudut datang dan sudut bias pada cahaya atau gelombang yang lain yang melalui . Oleh seorang matematikawan belanda, willebrord snellius kemudian memberikan persamaan atau rumus matematika yang memberikan hubungan antara sudut datang dan . Hukum snellius adalah peristiwa pembengkokan cahaya karena melintasi.

Hukum snellius pada pembiasan cahaya: rumus sn. Hukum snellius pada pembiasan cahaya:

Post a Comment for "Rumus Snellius / Hukum Snellius Pengertian Gambar Dan Contoh - “sinar datang, sinar bias, dan garis normal terletak pada satu bidang datar, dan ketiganya saling berpotongan”."